Космоэнергетика частоты
Космоэнергетика представляет интерес для ЧЕЛОВЕЧЕСТВА не только и не столько в связи с тем, что на базе ее принципов разработаны новые технологии лечения, которые по своей эффективности превосходят все ранее известные технологии, а с тем, что она представляет собой новую систему взглядов, новую парадигму, позволяющую вступить нашей цивилизации в новую космическую эру.
Что такое КОСМОЭНЕРГЕТИКА лучше всего, очевидно, определено Владимиром Александровичем Петровым — создателем и основателем КОСМОЭНЕРГЕТИКИ [1]: «Космоэнергетика — это не вера и не наука в традиционном понимании. Это скорее Знание в широком смысле слова, включающее в себя некоторые элементы этих противоборствующих систем человеческой мысли. Это знание, обладающее собственной, вполне доступной методологией и целым комплексом сформировавшихся и проверенных практикой представлений о мире и человеке».
Здесь принципиально важно, то, что создание единой системы взглядов на науку, искусство и религию, собственно единый взгляд на образование человека, это и то направление развития современного естествознания [2]. В конечном итоге Сознание человека наконец попало в сферу профессиональных интересов физиков [2, 3].
Говоря о знаниях и, собственно о каких знаниях, уместно привести здесь одно из положений КОРАНА [4]: Сура 29, стих 43. «Эти притчи Мы рассказываем людям, но постигают их смысл только обладающие знанием».
В настоящем сообщении предпринята попытка анализа частот Космоэнергетики с целью создания их определенной систематики для дельнейшего открытия новых частот, а так же для развития традиционной науки в область нетрадиционной, когда Сознание становятся исходным понятием как это и осуществлено в Космоэнергетике.
Исключительная важность Космоэнергетки в том, что в отличие от ранее известных учений (Христианство, Мусульманство, Дао…) она адаптирована к современному естествознанию. Именно это чрезвычайно важно, поскольку позволяет в недрах современного естествознания создать начало эры новых знаний когда нет различия между наукой и религией.
1. ОБЩИЕ СООтНОШЕНИЯ
Взаимодействие между энергиями духовного и материального планов (среди множества других составляющих проявленной изначально не проявленной энергии (обычно из-начальную энергию обозначают как «ничто» которое трансформируется в множество «не-что» где, в частности наблюдаемый обычным человеком мир)) можно выразить соотношением.
(1)В соотношении (1)
- духовная составляющая энергии, для которых в КОСМОЭНЕРГЕТИКЕ имеются свои названия,
- энергия материального плана, в которую и проявляется
(когда речь идет о человеке, то
соответствует органам тела,
- постоянная Планка,
- частота, вибрации которые можно наблюдать в материальном плане, характеристики которого: поляризация, вид (акустические, оптические ветви частот), численное значение и важны для введения определенной систематики исходных energий,
- энтропийный фактор энергии
.
Соотношение (1) имеет место и для общего случая, когда энергия духовного плана преобразуется в энергии же духовного плана. Тогда вместо соотношения (1) можно ввести обобщенное соотношение
(2)Здесь
- энергия j – ой составляющей структуры энергии человека. В соотношении (2) Bi,j - глобальная космоэнергетическая матрица Петрова (ГКЭМП) которая определяет взаимодействие космических энергий с энергетической структурой человека. Остановимся на некоторых свойствах ГКЭМП. Во-первых диагональные элементы Bi,i соответствуют взаимодействию космочастот с самими собой. Мы допускаем, что человек представляет из себя образование из всех возможных энергий нашей галактики. Здесь следует отметить, наиболее естественно это можно обосновать на основе современной теории диссипативных структур [5] в сочетании с основными принципиальными положениями учения Дао [6]. Этому очень важному и интересному вопросу будет посвящена отдельная работа. Вопрос о существовании космоэнергетических частот, для которых диагональный элемент равен нулю, соответствует очень важной задаче об участии различных галактик в формирования человека. Вопрос этот чрезвычайно важный и особенно для уровня воинов космоэнергетов. По крайней мере, это важно при переходе между различными состояниям сознания. Второе важное следствие связано с тем, что Bi,i представляет из себя функционал от взаимодействующих энергий
. В дальнейшем мы используем символ
для характеристик глобального характера, (внешнего поля), символ Bi,i для обозначения характеристик локального характера, характеристик человека (при этом имеем ввиду, что с точки зрения пространственно временных категорий, характеристики человека вовсе не локальны).
Кроме ГКЭМП, которая представляет из себя характеристики глобального масштаба важнейшей величиной человека является локальная характеристика, определяющая меха-низмы преобразования энергий в самом человеке.
(3)где
- локальная космоэнергетическая матрица Петрова (ЛКЭМП), определяющая особенности взаимодействия энергетики человека. Наконец существует еще одна космоэнергетиская матрица характеризующая взаимодействие между разными локальными энергетическими характеристиками, между разными людьми
(4)Свойства матрицы определяет, в частности особенности взаимодействия космоэнергета с пациентом во время и после процесса лечения.
Отметим, что существует очень важное предельное соотношение между локальной и глобальной космоэнергетическими матрицами Петрова а именно по мере развития челове-ка на пути к истине обе матрицы самосогласованным образом стремятся к Единому к Абсолюту (к тому кто их создал)

Такое разделение соответствуют фактически введения понятий Наблюдателя, Наблюдаемого и Свидетеля[2]. Отметим что, обычно пре введении понятий Наблюдаемого и Наблюдателя опускает из виду наличие Свидетеля [7].
Отметим, что понятие матрицы рассмотренное в [8] представляет собой качествен-ной рассмотрение, где собственно сама матрица как математический объект не рассматривается. Кроме того проведенный качественный анализ относится только к ЛКЭМП.
Исследование свойств (осознание) глобальной и локальной космоэнергетичеких матриц Петрова, которым все мы и занимаемся (осознаем) представляет несомненный интерес. Причем речь идет об исследовании их инвариантных свойств, т.е. того неизменного, которое свойственно множеству матриц, соответствующих отдельным индивидуумам. Это даст весомый вклад для создания основ нового миропонимания.
2. МЕТОД АНАЛОГИЙ
Суть и эффективность метода аналогий фактически отражены в одном из положений «Изумрудной скрижали» Гермеса [2]. «То, что наверху аналогично тому, что внизу, то, что внизу аналогично тому что наверху, чтобы осуществить чудеса единой вещи.» Интересно отметить, что наиболее полно и, если можно так выразиться красиво, это положение Гермеса выражено в концепции фрактала [9]. Мы воспользуемся методом аналогий для оценки и расчета частот космоэнергетики. Естественно, частоты появляющиеся при трансформации энергии космических частот характеризуются своими параметрами: например, при проявлении ШАОН появляется спектр проявленных частот, которые и важно определить спектр, закон дисперсии, поляризация, время существования, область локализации и т.д. Для расчета этих частот необходимо исходить из определенных законов сохранения. Например, в небесной механике, при рассмотрении движения частицы в центральном поле сил имеет место закон сохранения момента импульса, приводящий к постоянству секторальной скорости [10]. В нашем случае исходя из того, что человек это микрокосмос (проявление аналогии), будем полагать равенство «обобщенных линейных скоростей» в глобальном и локальном масштабах. Так, рассматривая в качестве задающей частоты, частота вращения Земли вокруг Солнца, которая равна
генерирует в солнечной системе соответствующий спектр частот. В масштабах человека частота
генерируемая Солнцем определяется из соотношения
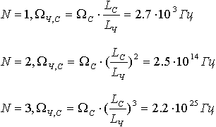
(5)В (5) LЧ характерный размер человека (или органа человека, в зависимости от того, влияние на какой орган или объект рассматривается), LCхарактерное расстояние до Солнца (от Земли) которое равна (1,5*1010м) N - эффективный размер пространства, равный 1,2,3. и т.д. На основе (5), полагая LЧ=1,7м получим
(6)Аналогичный спектр частот, порождаемый Луной принимает значения
(7)Какие из частот дают вклад в ту или иную космическую частоту, вопрос отдельного рассмотрения. А пока заметим, что существует аналогия, в соответствии с Гермесом, между органами человека и планетами Солнечной системы. Так, в соответствии с «Трактатом желтого императора о внутреннем» [9] в Части первой ЦЗЮАНЬ, раздел четвертый «Истинные речи из золотого ларца» дается следующее соответствие:
Печень ----- ЮпитерСердце ----- Марс
Селезенка ----- Сатурн
Легкие ----- Венера
Почки ----- Меркурий
В соответствии с предложенной методикой можно исходить и из возможных других обобщенных законов сохранения и рассчитать частоты составляющие базисные часты из которых формируются соответствующие космоэнергетические частоты. Более того, использование метода аналогий в сочетании с другими «космическими законами сохранения» можно классифицировать и новые неизвестные космоэнергетические частоты.
3. ФРАКТАЛЬНЫЙ АНАЛИЗ ЧАСТОТ
Концепция фрактала, которая в настоящее время стала одним из основных разделов нового научного направления – физики открытых систем - исходит, в частности из того, что реальный пространственно-временной континуум имеет дробную размерность. Особенность фрактального анализа в том, что он создает более адекватные реальности модели, чем ранее известные методы анализа. Фрактальный анализ позволяет создавать более адекватные реальности методов анализа. Обобщение соотношения (3) на случай фрактальности системы принимает вид
(5)где - фрактальные размерности человека и Солнца, которые могут принимать и нецелочисленные значения, и котoрые, вообще говоря, не равны друг другу. В отличие от соотношения (5) соотношение (4) содержит характерные масштабные параметры L0Ч, L0C которые необходимо определить для каждого из рассматриваемых масштабов и, которые, становятся важнейшими параметрами классификации космоэнергетических частот.
В заключении авторы выражают благодарность и признательность В.А. Петрову за стимулирование и поддержку работы.
ЛИТЕРАТУРА
- Петров В.А. Космоэнергетика и жизнь. Москва. 2000.
- Мейланов Р.П. Энергетика человека и современное естествознание. Республиканское издательство. Махачкала. 1998.
- Левин Б.М. Физика и сознание.
- Коран. Перевод с арабского и комментарии М.-Н. О.Османова.Islambe Republic of Iran/1998/
- И. Пригожин, Д.Кондепури. Современная термодинамика. От тепловых двигателей до диссипативных структур. М.:Мир.2002.
- Дао. Гармония мира. М.:Изд-во Эксмо. 2002.
- Введение в Ведическую науку Махариши.
- Дайяна СТАЙН. Кармическое исцеление.Киев.Издат. «София». 2002.
- Мейланов Р.П. Янполов М.С. Особенности фазовой траектории «фрактального» осцил-лятора.//Письма в журнал технической физики.2002.Т.28.вып.1. С.67.
- Ландау Л.Д. Лифшиц И.М. Теоретическая механика.М.:Наука. 1978.
- Труды желтого императора.
1. ОБЩИЕ СОотношения
Взаимодействие между энергиями духовного и материального планов...
2. МЕТОД АНАЛОГИЙ
Суть и эффективность метода аналогий...
3. ФРАКТАЛЬНЫЙ АНАЛИЗ ЧАСТОТ
Концепция фрактала...
ЛИТЕРАТУРА
- Петров В.А. Космоэнергетика и жизнь. Москва. 2000.
- Мейланов Р.П. Энергетика человека и современное естествознание. Республика...
Контакты
Пишите, мы на связи.
Официальный сайт — kosmoenergetika.moscow
Телефон — +7 (985) 552-2645